Question 1:
एक छात्र को पाँच विषयों में कुल 50% अंक प्राप्त हुए। उसके द्वारा प्राप्त अंकों का अनुपात 10 : 9 : 8 : 7 : 6 है। यदि उत्तीर्णांक, अधिकतम अंक का 40% है तथा सभी विषयों के अधिकतम अंक समान हैं, तो उसने कितने विषयों में परीक्षा उत्तीर्ण की?
2
3
4
5
Correct Answer : 3
उत्तर: (c)


Question 2:
दी गई शृंखला 4, 2, 1, 2, 1, 4, 2, 1, 1, 2, 4, 4, 4, 1, 2, 2, 1, 2, 1, 4, 4, 2, 1, 4, 2, 1, 2, 1, 2, 4, 1, 4, 2, 1, 2, 4, 1, 4, 6 में कितने 2 ऐसे हैं जिसके पहले 1 है और बाद में 4 नहीं है?
दो
तीन
चार
पाँच
Correct Answer : 3
उत्तर: (c)

अत: चार ऐसे 2 हैं जिनके पहले 1 है, परंतु बाद में 4 नहीं है।
Question 3:
निम्नलिखित में से कौन-सा शताब्दी वर्ष का अंतिम दिन नहीं हो सकता है?
बुधवार
मंगलवार
शुक्रवार
रविवार
Correct Answer : 2
उत्तर: (b)

Question 4:
राजू की आयु चार वर्ष पहले 1 से भिन्न किसी पूर्णांक का घन (क्यूब) थी और चार वर्ष बाद किसी पूर्णांक का वर्ग है। उसे कितने वर्ष तक इन्तज़ार करना चाहिये ताकि उसकी आयु पूर्ववर्ती वर्ष में 7 का गुणज (multiple) और उत्तरवर्ती वर्ष में 13 का गुणज (multiple) हो जाये?
50 वर्ष
56 वर्ष
17 वर्ष
52 वर्ष
Correct Answer : 4
उत्तर: (d)
व्याख्या: राजू की वर्तमान आयु = 12 वर्ष, और
चार वर्ष पूर्व, उसकी आयु = 12 – 4 = 8 वर्ष (जोकि 2 का घन है।), और
चार वर्ष बाद, उसकी आयु = 12 + 4 = 16 वर्ष (जोकि 4 का वर्ग है।)
विकल्पों से हल करने पर,
(a) 50 वर्ष बाद,
राजू की आयु = 12 + 50 = 62 वर्ष
1 वर्ष पूर्व की आयु, अर्थात् 61 वर्ष होगी जोकि 7 का गुणज नहीं है।
(b) 56 वर्ष बाद,
राजू की आयु = 12 + 56 = 68 वर्ष
1 वर्ष पूर्व की आयु, अर्थात् 67 वर्ष होगी जोकि 7 का गुणज नहीं है।
(c) 17 वर्ष बाद,
राजू की आयु = 12 + 17 = 29 वर्ष
1 वर्ष पूर्व की आयु, अर्थात् 28 वर्ष होगी जोकि 7 का गुणज है। परंतु 1 वर्ष बाद राजू की आयु 30 वर्ष होगी जोकि 13 का गुणज नहीं है।
(d) 52 वर्ष बाद,
राजू की आयु = 12 + 52 = 64 वर्ष
1 वर्ष पूर्व की आयु, अर्थात् 63 वर्ष होगी जोकि 7 का गुणज है।
वहीं 1 वर्ष बाद राजू की आयु 65 वर्ष होगी जोकि 13 का गुणज है।
अतः विकल्प (d) सही है।
Question 5:
अंकित तथा अनिल एक बिंदु से विपरीत दिशा में चलना प्रारंभ करते हैं। प्रत्येक 2 किमी. की दूरी पर, अंकित हमेशा बाईं ओर मुड़ता है तथा अनिल हमेशा दाईं ओर मुड़ता है। निम्नलिखित में से कौन-सा कथन सही है?
दोनों के द्वारा 4 किमी. दूरी तय करने के बाद उनके बीच की दूरी 8 किमी. है।
वे, प्रत्येक के द्वारा 6 किमी. की दूरी तय करने के बाद मिलते हैं।
वे, पहली बार, प्रत्येक के द्वारा 8 किमी. की दूरी तय करने के बाद मिलते हैं।
वे, एक-दूसरे से कभी नहीं मिलेंगे।
Correct Answer : 2
उत्तर: (b)

Question 6:
राजू की उम्र, रोहित की उम्र की तिगुनी है। उनके उम्र का अंतर ज्ञात करने के लिये, निम्नलिखित में से कौन सी सूचना/सूचनाएँ पर्याप्त है / हैं?
I. 10 वर्ष बाद, उनके उम्र का अनुपात 19 : 8 हो जाएगा।
II. 6 वर्ष पहले, उनके उम्र का अनुपात 15 : 4 था।
केवल I
केवल II
I और II दोनों
या तो I या II
Correct Answer : 4
उत्तर: (d)


Question 7:
दिये गए चित्र में कितने त्रिभुज हैं?

25
14
39
40 या ज्यादा
Correct Answer : 4
उत्तर: (d)

Question 8:
एक आदमी किसी महिला की ओर इशारा करते हुए कहता है, ‘‘उसके बेटे का एकमात्र भाई, मेरी पत्नी का भाई है।’’ उस महिला का आदमी से क्या संबंध है?
माँ की बहन
दादी
सास
ससुर की बहन
Correct Answer : 3
उत्तर: (c)

Question 9:
किसी त्रिभुज का अर्द्धपरिमाप 8.5 सेमी. है। यदि त्रिभुज की भुजाएँ पूर्णांक में हों, तो ऐसे कितने त्रिभुज बनाए जा सकते हैं?
7
8
9
ज्ञात नहीं किया जा सकता है।
Correct Answer : 2
उत्तर: (b)
व्याख्या:त्रिभुज का अर्द्धपरिमाप = 8.5 सेमी.
त्रिभुज का परिमाप = (8.5 × 2) सेमी.
= 17 सेमी.
संभावित त्रिभुजों की भुजाएँ हैं-
(1, 8, 8), (2, 8, 7), (3, 7, 7), (4, 5, 8), (4, 6, 7), (5, 5, 7), (5, 6, 6) तथा (6, 8, 3)
अत: 8 ऐसे त्रिभुज हैं जिनका अर्द्धपरिमाप 8.5 सेमी. है।
Question 10:
नीचे दिये गए चित्र पर विचार कीजिये-

निम्नलिखित में से विलुप्त संख्या ज्ञात कीजिये-
65
58
79
66
Correct Answer : 4
उत्तर: (d)

Question 11:
परिच्छेद-2
जीवन में महत्त्वपूर्ण बात यह नहीं है कि आप क्या हैं बल्कि आप कहाँ जा रहे हैं और क्या बनने वाले हैं। मेरी उम्र में, जब मैं चीजों को दूसरों से अधिक स्पष्ट देख सकता हूँ, तब मैं एकांत में बैठ कर अपनी ज़िंदगी के बदलते उतार-चढ़ाव को याद कर सकता हूँ और, यह देख सकता हूँ कि इसने मुझे क्या
सिखाया है। जब मैं अतीत में झाँक के देखता हूँ, तो पाता हूँ कि मेरे जीवन के महान और गौरवशाली क्षण वे थे, जब मैंने बदले में कुछ भी उम्मीद किये बिना दूसरों की मदद की। तब नहीं, जब मैंने संघर्ष किया और अपने लक्ष्य की प्राप्ति में सफल रहा। अपने मैं अच्छी तरह से कल्पना कर सकता हूँ एवं समझ सकता हूँ कि इस दुनिया में वे अकेले होते हैं जो दूसरों के लिये जीते हैं। मुझे अतीत के लिये कोई पछतावा नहीं है। ज़िंदगी मुझ पर मेहरबान रही है। मेरा एकमात्र दु:ख यह है कि मैंने जितना दिया उससे कहीं अधिक मुझे जीवन में मिला।
Q. लेखक के अनुसार उसके जीवन के सबसे संतोषप्रद क्षण कब थे?
जब उसने जीवन में शांति प्राप्त की।
जब वह अपने लक्ष्य की प्राप्ति करने में सफल रहा।
जब वह जीवन के उतार-चढ़ाव में संघर्ष करने में सफल रहा।
जब उसने बदले में कुछ भी उम्मीद किये बिना दूसरों की मदद की।
Correct Answer : 4
उत्तर: (d)
व्याख्या: परिच्छेद में लेखक ने कहा है कि उसके जीवन के गौरवशाली क्षण वे थे जब उसने बदले में कुछ भी उम्मीद किये बिना दूसरों की मदद की।
Question 12:
नीचे दी गई आकृति को मोड़कर बक्सा बनाया जाता है। निम्न में से कौन-सा बक्सा बनाया जा सकता है?

नीचे दिये गये कूट से सही उत्तर का चयन कीजिये-
केवल 1 और 4
केवल 1, 3 और 4
केवल 2, 3 और 4
केवल 1 और 3
Correct Answer : 4
उत्तर: (d)

आगे आने वाले चार प्रश्नांशों के लिये निर्देश :
निम्नलिखित दो परिच्छेदों को पढ़िये और प्रत्येक परिच्छेद के बाद आने वाले प्रश्नांशों के उत्तर दीजिए। इन प्रश्नांशों के लिये आपके उत्तर केवल संबंधित परिच्छेद पर आधारित होने चाहिये।
परिच्छेद-1
Question 13:
आगे आने वाले चार प्रश्नांशों के लिये निर्देश :
निम्नलिखित दो परिच्छेदों को पढ़िये और प्रत्येक परिच्छेद के बाद आने वाले प्रश्नांशों के उत्तर दीजिए। इन प्रश्नांशों के लिये आपके उत्तर केवल संबंधित परिच्छेद पर आधारित होने चाहिये।
परिच्छेद-1
लेखक विलियम स्ट्रॉस और नील होवे अमेरिकी इतिहास में ‘पीढ़ियों के विभिन्न चक्रों’ के सिद्धांतों के लिये जाने जाते हैं। वे चार पीढ़ियों के प्रत्येक चक्र को एक समूह के रूप में दर्शाते हैं, और वे मानते हैं कि
प्रत्येक युग समूह ‘‘बार-बार होने वाली ऐतिहासिक घटनाओं’’ और मनोदशा से संबंधित है। वे कहते हैं कि दो लगातार पीढ़ियाँ एक जैसा जीवन यापन नहीं करती हैं; और प्रत्येक पीढ़ी एक विलक्षण समूह के रूप में समय चक्र में बुजुर्ग होती है। स्ट्रॉस और होवे के अनुसार, प्रत्येक पीढ़ी वैसे समान पीढ़ी के लोगों से मिलकर बनी है जिनका (1) आयु (2) विश्वास और (3) गृहीत सदस्यता उभयनिष्ठ होती है। एक पीढ़ी लगभग 22 वर्ष की होती है। चूँकि एक जीवनकाल 80-90 वर्ष तक हो सकता है इसलिये 4 पीढ़ियों के सदस्य एक ही समयावधि में जीवित होते हैं। स्ट्रॉस द्वारा दर्शाये गये चार पीढ़ियों के उदाहरण हैं- आदर्शवादी, प्रतिक्रियावादी, सिविक और अनुकूलक।
आदर्शवादी ‘‘एक धर्मनिरपेक्ष संकट के बाद उभरता आसक्त युवा वर्ग’’ है, जो प्रौढ़ावस्था में व्यावहारिकता के बजाय जीवन सिद्धांत को विकसित करते हैं, और ‘‘दूरदर्शी बुजुर्ग’’ के रूप में उभरते हैं।
प्रतिक्रियावादी ‘‘आध्यात्मिक जागृति के दौरान संरक्षित और निंदित युवाओं’’ के रूप में बड़े होते हैं, फिर ‘‘जोखिम उठाने वाले’’ वयस्क बनते हैं एवं ‘‘धर्मनिरपेक्ष संकट के दौरान व्यावहारिक प्रौढ़ नेता बनते हैं, और अंतत: एकांतवादी बुजुर्ग बन जाते हैं। सिविक ‘‘आध्यात्मिक जागृति के बाद बने संरक्षित युवा’’ होते हैं जो ‘‘एक वीर और प्रतिष्ठित वयस्क’’ बनते हैं, ‘‘प्रौढ़ावस्था में संस्थानों का निर्माण करते हैं’’ और ‘‘अगले आध्यात्मिक जागृति द्वारा व्यथित व्यस्त प्रौढ़’’ के रूप में उभरते हैं। अनुकूलक ‘‘धर्मनिरपेक्ष संकट के दौरान अतिसंरक्षित एवं घुटन’’ में बड़े होते हैं, एवं ‘‘जोखिम से भागने वाले रूढ़िवादी वयस्क,’’ बनते हैं एवं ‘‘आध्यात्मिक जागृति के दौरान अनिश्चित मध्यस्थ नेताओं’’ में परिपक्व होते हैं और अंतत: ‘‘संवेदनशील बुजुर्ग’’ बन जाते हैं।
Q. परिच्छेद के अनुसार, निम्नलिखित में से कौन-सा कथन निष्कर्ष के रूप में लिया जा सकता है?
अनुकूलक बुजुर्ग होते हैं जब सिविक प्रौढ़ होते हैं।
जब प्रतिक्रियावादी वयस्क होते हैं, तब सिविक युवा होते हैं।
प्रतिक्रियावादी, सिविक से एक पीढ़ी छोटे होते हैं।
आदर्शवादी, प्रतिक्रियावादी से एक पीढ़ी छोटे होते हैं।
Correct Answer : 2
उत्तर: (b)
व्याख्या: अनुच्छेद से स्पष्ट है कि प्रतिक्रियावादी जागृति के दौरान एक युवा होता है एवं आध्यात्मिक के बाद सिविक युवा होता है, जबकि ‘प्रतिक्रियावदी’ एक ‘जोखिम उठाने वाले वयस्क’ के रूप में परिवर्तित हो चुका होता है।
Question 14:
स्ट्रॉस और हॉवे द्वारा बनाई गई धारणा क्या है?
पीढ़ियों के चक्रों के पास कुछ उभयनिष्ठ गुण और मनोदशाएँ होती हैं।
एकांतरिक पीढ़ी एक जैसा जीवन जीती है।
प्रत्येक युग समूह बार-बार होने वाली ऐतिहासिक घटनाओं और मनोदशाओं से संबंधित है।
चार पीढ़ियाँ एक ही समय में और एक साथ ही अस्तित्व में होती हैं।
Correct Answer : 3
उत्तर: (c)
व्याख्या: अनुच्छेद की पहली छह पंक्तियों के अनुसार, लेखक विलियम स्ट्रॉस और नील होवे चार पीढ़ियों के प्रत्येक चक्र को एक समूह के रूप में दर्शाते हैं, और वे मानते हैं कि प्रत्येक समूह युग बार-बार होने वाली ऐतिहासिक घटनाओं और मेनोदशा से मेल खाता है। अत: विकल्प (c) वह धारणा है जो स्ट्रॉस और होवे द्वारा बनाई गई है।
Question 15:
परिच्छेद-2
संवैधानिक सरकार शासन का एक प्रकार है, जो इस तथ्य से चरितार्थ होता है कि सरकार एक कानूनी एवं संस्थागत नियंत्रण के अंतर्गत कार्य करती है, और ये इसकी शक्ति को सीमित करता है और साथ ही किसी राजव्यवस्था के नागरिकों की व्यक्तिगत स्वतंत्रता की रक्षा भी करता है। संवैधानिक सरकार के मूलभूत तत्त्व कुछ नियमों का समुच्चय या ‘‘मूलभूत नियम’’ हैं जो सरकार के कर्तव्यों, उसकी शक्तियों एवं क्रियाकलापों (संस्थागत स्वायत्तता) को तय करता है और व्यक्ति एवं राज्य के मध्य संबंध (व्यक्तिगत स्वायत्तता) को परिभाषित करता है। संस्थागत संबंधों का यह जटिल स्वरूप, शासन का एक प्रकार है, क्योंकि यह मूलभूत रूप से उन राज्यों से भिन्न है जहाँ विधि का शासन या तो अनुपस्थित (या निलंबित) है या उदारवाद (अर्थात् व्यक्तिगत स्वतंत्रता के सिद्धांतों के प्रति वचनबद्धता, संबंधों की स्वतंत्रता, दूसरे व्यक्तियों के विश्वासों के प्रति सहिष्णुता एवं अल्पसंख्यकों का सम्मान करने और राजव्यवस्था के अंतर्गत सभी नागरिकों के लिये समान अधिकारों की अनुमति) के सिद्धांतो से अलग किसी सिद्धांत पर आधारित है, अत: संवैधानिक सरकार ‘प्रमुख’ एवं ‘जनता’ के बीच हुए अनुबंध पर आधारित होती है और इसे सरकार के आधिकारिक दिशा-निर्देश के रूप में समझा जा सकता है।
संविधानवाद के स्रोत एवं इसके विकास को यूरोप एवं अमेरिका में 18वीं शताब्दी में हुए जागृति एवं बुर्जुआ क्रांति के मूल में देखा जा सकता है। यह अवलोकन दर्शाता है कि वर्तमान में संवैधानिक सरकार का अर्थ ‘विधि के शासन’ के विचार को अपने में समाहित करता हुआ प्रतीत होता है और इसने राज्य के चुनी हुई संस्थाओं (इसका प्रारूप, जैसे- गणतंत्रवाद, संघवाद, संसदीय) और समाज के मूल्यों (स्वतंत्रता, सामाजिक एवं आर्थिक उद्देश्य जैसे- लोक कल्याण, मानव अधिकार इत्यादि) को भी प्रभावित किया है। इस प्रकार देखा जाए तो, संवैधानिक सरकार लोगों के जीवन को अनुशासित करने
का नियम और साथ ही किसी राजनीतिक प्रणाली की स्थिरता के मूल्यांकन की रूपरेखा है। इसे न केवल समाज को संगठित करने के रूप में, बल्कि राष्ट्रीय सरकार किस तरह से और किस हद तक समाज की स्थायी परिस्थितियों के लिये योगदान करती है इस रूप में भी समझा जाना चाहिये।
Q. निम्नलिखित में से किसे संवैधानिक सरकार से संबद्ध कहा जा सकता है?
नीचे दिये गये कूट से सही उत्तर का चयन कीजिये-
केवल 1
केवल 2
1 और 2 दोनों
न तो 1 और न ही 2
Correct Answer : 3
उत्तर: (c)
व्याख्या: संविधानवाद की जड़ें 18वीं शताब्दी के प्रबोधन के आलोक में देखी जा सकती हैं जिसने अंतत: संवैधानिक सरकार की नींव रखी। इसने राजनीतिक प्रणाली की स्थिरता का आकलन करने के लिये सार्वजनिक जीवन को भी संयोजित किया। अत: (c) सही विकल्प है।
Question 16:
संवैधानिक सरकार-
नीचे दिये गये कूट से सही उत्तर का चयन कीजिये-
केवल 1 और 3
केवल 2 और 3
केवल 1 और 2
1, 2 और 3
Correct Answer : 4
उत्तर: (d)
व्याख्या: प्रथम अनुच्छेद में नियमों के समूह या ‘आधारभूत कानूनों’ के तौर पर संवैधानिक सरकार की बात की गई है जो सरकार के कार्यकलापों को स्थापित करते हैं तथा राज्य और व्यक्ति के बीच के संबंधों को परिभाषित करते हैं।
Question 17:
निम्नांकित चित्रों पर विचार कीजिये-

ऊपर चित्र (I) से (V) तक में कुछ भाग नियमित दिशाओं मे अपनी स्थितियाँ बदलते हुए दिखाए गए हैं। उसी अनुक्रम का अनुसरण करते हुए नीचे दिये गए चित्रों में से कौन-सा चरण (VI) में आएगा?




Correct Answer : 1
उत्तर: (a)
व्याख्या: ‘●’ घड़ी की दिशा में दो स्थान स्थानांतरित हो रहा है जबकि O घड़ी की विपरीत दिशा में एक स्थान स्थानांतरित हो रहा है।
Question 18:
यदि ‘BOMBAY’ के लिये कूट है ‘YNNYZB’ तथा ‘HOCKEY’ के लिये कूट है ‘SNXPDB’. तो ‘SCIENCE’ के लिये कूट होगा-
HXRDMXD
HXRVMXV
HXMDMSD
HXHDMXD
Correct Answer : 4
उत्तर: (d)


Question 19:
यदि 500!, 21K से पूर्णत: विभाजित हो जाता है, तो K का अधिकतम मान क्या होगा?
216
72
247
82
Correct Answer : 4
उत्तर: (d)



Question 20:
किसी संस्था में, 60% कर्मचारियों के पास बाइक है, 30% कर्मचारियों में से प्रत्येक के पास कार है तथा 15% कर्मचारियों के पास बाईक और कार दोनों हैं। संस्था में कुल 1920 कर्मचारी काम करते हैं। ऐसे कितने कर्मचारी हैं जिनके पास न तो बाईक है न ही कार है?
400
480
520
560
Correct Answer : 2
उत्तर: (b)


Question 21:
किसी व्यक्ति ने 25,000 कीमत का एक ए.सी. 10% चक्रवृद्धि ब्याज (वार्षिक) पर खरीदा। पहले वर्ष के अंत पर उसने 10,000 एवं दूसरे वर्ष के अंत पर 10,000 चुकाए। पूरा ऋण चुकाने के लिये उसे तीसरे वर्ष के अंत में कितने रुपये का भुगतान करना होगा?
5,000
8,000
10,175
9,250
Correct Answer : 3
उत्तर: (c)


Question 22:
परिच्छेद-2
भारतीय रिज़र्व बैंक द्वारा रेपो रेट में 125 आधार अंकों की कमी के बाद पिछले एक वर्ष से बैंकिंग संस्थान छोटी बचत योजनाओं पर ब्याज दर को कम करने की मांग कर रहे हैं। अंतत: कल सरकार ने सावधि जमा ब्याज दरों के सममूल्य लाने के लिये छोटी बचत योजनाओं के ब्याज दरों में कटौती की घोषणा की।
निम्नलिखित में से कौन-सा कथन दिये गये परिच्छेद से निष्कर्ष के रूप में लिया जा सकता है?
भारतीय रिज़र्व बैंक जब रेपो रेट में कमी करती है तो छोटी बचत योजनाओं के ब्याज दरों में भी कमी की जाती है।
छोटी बचत योजनाओं के ब्याज दरों को हमेशा सावधि जमा योजना के ब्याज दरों के सममूल्य निर्धारित किया जाता है।
सरकार कभी-कभी छोटी बचत योजनाओं के ब्याज दरों में कमी करने से पहले बैंकिंग संस्थानों की मांगों पर विचार करती है।
भारतीय रिज़र्व बैंक द्वारा केवल रेपो रेट में कमी के बाद ही छोटी बचत योजनाओं के ब्याज दरों में कमी होती है।
Correct Answer : 3
उत्तर: (c)
व्याख्या: परिच्छेद के अनुसार, हम समझ सकते हैं कि सरकार कभी-कभी छोटी बचत योजनाओं पर ब्याज़ दरों को कम करने से पहले बैंकिंग संस्थानों की माँग को ध्यान में रखती है। इसलिये सही विकल्प (c) है।
Question 23:
परिच्छेद-3
हाल ही में हाईकोर्ट के एक पैसले ने भीख मांगने को एक बीमारी तथा इसकी ब्रांडिंग एवं अपराधीकरण को इसके लक्षण के रूप मानने वाले विचार को खारिज किया है। यह बीमारी सामाजिक सुरक्षा दायरे से बाहर आने वाले नागरिकों की रक्षा कर पाने में राज्य की विफलता का परिणाम है।
निम्नलिखित में से कौन-सा कथन दिये गये परिच्छेद के निष्कर्ष के रूप में लिया जा सकता है?
भीख माँगने वाले आलसी लोग होते हैं, क्योंकि वे काम नहीं करना चाहते।
भिखारी सामाजिक जनकल्याण योजनाओं की कमी के कारण बनते हैं।
भीख मांगना एक अपराध है, जिसे सख्तीपूर्वक निपटाया जाना चाहिये।
भीख मांगना बंद किया जाना चाहिये, क्योंकि यह समाज की खुशहाली को प्रतिकूल रूप से प्रभावित करता है।
Correct Answer : 2
उत्तर: (b)
व्याख्या: परिच्छेद से यह स्पष्ट होता है कि भीख मांगने की आधारभूत बीमारी सामाजिक सुरक्षा दायरे से बाहर आने वाले नागरिकों की रक्षा कर पाने में राज्य की विफलता का परिणाम है। अत: विकल्प (b) सही है।
Question 24:
परिच्छेद-4
भारत में रचनात्मक लेखन की एक कक्षा को पढ़ाने के दौरान छात्रों द्वारा मुझे दूर-दराज़ के क्षेत्रों के बारे में कहानियाँ भेजने पर आश्चर्य हुआ, जो कि पश्चिमी अमेरिका के काऊ-बॉयज़ एवं मैनहट्टन के किसी पेंटहाउस के रियासती जीवन पर आधारित थी। यह तभी था जब एक प्रसिद्ध कैरेबियन लेखक ने उन देशों के लेखकों, जो कभी उपनिवेश थे, को उनके आस-पास के दरिद्र जीवन को ‘बताये जाने योग्य’ कहानियों के रूप में देखने का आत्मविश्वास नहीं दिया।
इस परिच्छेद का लेखक अपने छात्रों के रचनात्मक लेखन कार्य से आश्चर्यचकित है, क्योंकि-
कुछ छात्रों ने विदेशी स्थानों के बारे में कहानियाँ लिखी थीं।
किसी भी विद्यार्थी ने भारत के बारे में कहानियाँ नहीं लिखी थी।
किसी भी छात्र ने आईस क्यूब्स एवं काऊ-बॉयज़ के बारे में कहानियाँ नहीं लिखी थी।
कुछ छात्रों ने आइस क्यूब्स एवं काऊ-बॉयज़ के बारे में कहानियाँ लिखी थीं।
Correct Answer : 2
उत्तर: (b)
व्याख्या: किसी भी छात्र ने भारत पर निर्धारित कहानियाँ नहीं लिखी थीं। यह स्पष्ट रूप से कहा गया है कि लेखक उन छात्रों से कहानियाँ प्राप्त करने में आश्चर्यचकित था जो सभी दूर स्थानों पर रह रहे थे। इसलिये सही विकल्प (b) है।
Question 25:
जितेन्द्र जो कि प्रबंधक है, अपने चार श्रमिकों को जोड़ी में काम करवाना चाहता है। कोई भी जोड़ी 5 घंटे से अधिक काम नहीं करता है। निखिल तथा आशुतोष ने 5 घंटे तक एक साथ काम किया। लोकेश तथा अंकित ने 2 घंटे तक एक साथ काम किया। लोकेश, निखिल के साथ काम करना नहीं चाहता है। जितेन्द्र, आशुतोष के साथ काम पर किसे लगाए ताकि सभी श्रमिक काम करना जारी रखें?
अंकित
निखिल
लोकेश
इनमें से कोई नहीं
Correct Answer : 3
उत्तर: (c)
व्याख्या: निखिल तथा आशुतोष 5 घंटे काम कर चुके हैं। इसलिये निखिल तथा आशुतोष अब एक साथ काम नहीं करेंगे क्योंकि कोई जोड़ा 5 घंटे से अधिक काम नहीं करता है। आशुतोष, लोकेश के साथ काम करेगा क्योंकि लोकेश, निखिल के साथ काम करना नहीं चाहता है।
Question 26:
नीचे दिये गए दो कथनों के बाद दो निष्कर्ष दिये गए हैं। इन कथनों को सत्य मानकर यह निर्णय कीजिये कि कौन-सा निष्कर्ष, कथनों का तार्विक रूप से अनुसरण करता है।
कथन-
(i) कोई बिल्ली, कुत्ता नहीं है।
(ii) सभी कुत्ते, शेर हैं।
निष्कर्ष-
केवल निष्कर्ष I अनुसरण करता है।
केवल निष्कर्ष II अनुसरण करता है।
न तो निष्कर्ष I और न ही निष्कर्ष II अनुसरण करता है।
दोनों निष्कर्ष I तथा II अनुसरण करते हैं।
Correct Answer : 3
उत्तर: (c)
व्याख्या:

उपर्युक्त वेन-आरेख के अनुसार न तो निष्कर्ष I न ही निष्कर्ष II सही है।
Question 27:
एक सिक्का को तीन बार टॉस किया जाता है। मान लें कि A एक ऐसी घटना है जिसमें पहले दो टॉस में चित आता है। मान लें कि B एक ऐसी घटना है जिसमें तीसरी टॉस में पट आता है। मान लें कि C एक ऐसी घटना है कि तीन टॉस में दो बार पट आता है।
उपर्युक्त सूचनाओं के आधार पर निम्न में से कौन-सा कथन सही है?
A तथा B स्वतंत्र नहीं हैं।
B तथा C स्वतंत्र नहीं हैं।
B तथा C स्वतंत्र हैं।
A तथा C स्वतंत्र हैं।
Correct Answer : 4
उत्तर: (d)
व्याख्या: घटना A के अनुकूल परिणाम = [HHT, HHH]
घटना B के अनुकूल परिणाम = [HHT, HTT, THT, TTT]
घटना C के अनुकूल परिणाम = [TTH, HTT, THT]
अत: घटना A तथा C स्वतंत्र हैं।
Question 28:
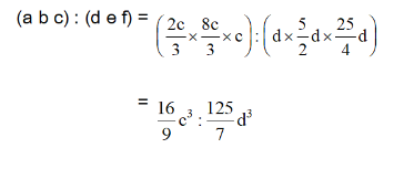
यदि a : b = 1 : 4, b : c = 8 : 3, c : d = 6 : 1, d : e = 2 : 5 तथा e : f = 2 : 5 है, तो (abc) : (def) का मान ज्ञात कीजिये।
125 : 3072
3072 : 125
1 : 6000
6000 : 1
Correct Answer : 2
उत्तर: (b)
व्याख्या:



Question 29:
विजय तथा अजय विपरीत दिशा में 1200 मीटर वृत्ताकार ट्रैक पर दौड़ रहे हैं। हर बार जब वे मिलते हैं, तो वे अपनी गति के साथ-साथ दिशाओं की अदला-बदली कर लेते हैं। उनके 13वें तथा 23वें मिलन बिंदु के बीच की न्यूनतम दूरी क्या होगी, यदि उनकी मूल गति का अनुपात 1 : 5 है?
800 मी.
200 मी.
400 मी.
600 मी.
Correct Answer : 3
उत्तर: (c)
व्याख्या: माना कि अजय तथा विजय की चाल क्रमश: x मी./से. तथा 5x मी. / से. है।

अजय तथा विजय की सापेक्ष चाल= (x + 5x) मी. / से.
= 6x मी. / से.
माना कि A शुरुआती बिंदु है।
पहले चक्कर में, अजय जितने समय में 200 मी. की दूरी तय करता है उतने समय में विजय 1000 मी. की दूरी तय करेगा। अगले चक्कर में अजय 1000 मी. की दूरी तय करने में जितना समय लेता है उतने ही समय में विजय 200 मी. की दूरी तय करता है।
13वीं बार वे दूसरे बिंदु पर मिलेंगे तथा 23वीं बार वे छठे स्थान पर मिलेंगे।
अभीष्ट न्यूनतम दूरी = (200 + 200) मी.
= 400 मी.
Question 30:
निम्नलिखित अनुक्रम पर विचार कीजिये-
51, 123, 171, 291, 363, 531, ...........
इस अनुक्रम का अगला पद क्या होगा?
963
563
843
731
Correct Answer : 3
उत्तर: (c)

Question 31:
परिच्छेद-1
पालघाट (पलक्कड) दर्रा, भारत के पश्चिमी घाटों के दक्षिणी भाग में लगभग 30 किमी. चौड़ा एक क्षेत्र है, जो अपने उत्तरी और दक्षिणी पहाड़ी इलाकों की तुलना में नीचे है। इस दर्रे के निर्माण का स्पष्ट कारण ज्ञात नहीं है। इसके फलस्वरूप, तमिलनाडु के आस-पास के क्षेत्रों में दक्षिणी-पश्चिमी मानसून के कारण अधिक वर्षा होती है एवं केरल के पड़ोसी क्षेत्रों में ग्रीष्म ऋतु में अधिक तापमान होता है।
इस परिच्छेद से क्या अनुमान लगाया जा सकता है?
तमिलनाडु एवं केरल के दक्षिणी भागों में अधिक वर्षा एवं अधिक तापमान के कारण पालघाट दर्रा का निर्माण होता है।
पालघाट दर्रे के समीप के तमिलनाडु एवं केरल के क्षेत्र निचले इलाके में आते हैं।
पालघाट दर्रे के निचले इलाके, तमिलनाडु और केरल के आस-पास के क्षेत्रों के मौसम प्रतिमानों पर उल्लेखनीय प्रभाव डालते हैं।
अधिक ग्रीष्म तापमान पालघाट दर्रे के निकटवर्ती क्षेत्रों में अतिरिक्त वर्षा का कारण बनते हैं।
Correct Answer : 3
उत्तर: (c)
व्याख्या: परिच्छेद में यह उल्लेख किया गया है कि तमिलनाडु के आस-पास के क्षेत्रों में दक्षिण पश्चिमी मानसून के कारण अधिक वर्षा होती है और केरल के पड़ोसी क्षेत्रों में ग्रीष्म ऋतु में अधिक तापमान होता है। इसलिये, हम यह अनुमान लगा सकते हैं कि दर्रे के कारण मौसम प्रभावित होता है। इसलिये सही विकल्प (c) है।
Question 32:
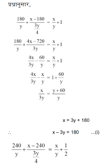
कोई रेलगाड़ी 180 किमी. चलने के बाद दुघर्टनाग्रस्त हो जाती है तथा उसके बाद वह अपने प्रारंभिक चाल के ¾ से चलकर अपने गंतव्य पर 1 घंटे देरी से पहुँचती है। यदि दुघर्टना प्रारंभिक स्थान से 60 किमी. और आगे हुई होती, तो रेलगाड़ी केवल 30 मिनट की देरी से पहुँचती। रेलगाड़ी के द्वारा तय की गई कुल दूरी ज्ञात कीजिये-
300 किमी.
400 किमी.
600 किमी.
500 किमी.
Correct Answer : 1
उत्तर: (a)
व्याख्या: माना कि कुल दूरी तथा मूल चाल क्रमश: x किमी. तथा y किमी/घंटा है।
प्रश्नानुसार,


Question 33:
318, 317, 320 तथा 321 का औसत ज्ञात कीजिये-
केवल 1
केवल 2 और 3
केवल 1 और 3
उपर्युक्त सभी
Correct Answer : 3
उत्तर: (c)
व्याख्या: पदों का योग / पदों की संख्या

Question 34:
किसी विन्यास का अनुसरण करने वाले निम्नलिखित अनुक्रम पर विचार कीजिये-
ccbab_caa_bccc_a_
रिक्त स्थानों में आने वाले अक्षर कौन-से हैं?
babb
bbba
baab
babc
Correct Answer : 1
उत्तर: (a)
व्याख्या: c c b a / b b c a / a a b c / c c b a / b
अत: b a b b सत्य है।
Question 35:
सात व्यक्ति A, B, C, D, E, F तथा G एक सीधी रेखा में खड़े हैं। D, G के दाँयी ओर खड़ा है। A तथा B के बीच C खड़ा है। F और D के बीच E खड़ा है। G तथा B के बीच तीन व्यक्ति खड़े हैं।
नीचे दिये गये कूट से सही उत्तर का चयन कीजिये-
केवल 1 और 3
केवल 1 और 2
केवल 2 और 3
1, 2 और 3
Correct Answer : 1
उत्तर: (a)

Question 36:
निम्नलिखित 3 (तीन) प्रश्नांशों के लिये निर्देश-
नीचे दी गई तालिका का ध्यानपूर्वक अध्ययन कीजिये तथा इस पर आधारित प्रश्नों के उत्तर दीजिये। तालिका विभिन्न प्रकार की कारों के उत्पादन (हज़ार में) को दर्शाती है।

Q. यदि टाइप E प्रकार की कारों के उत्पादन संबंधित आँकड़ों को पाई-चार्ट द्वारा दर्शाया जाता है, तो 2013 में कारों के उत्पादन के आँकड़ों का प्रतिनिधित्व करने वाले सेक्टर का केंद्रीय कोण होगा-
102º
84º
70º
80º
Correct Answer : 2
उत्तर: (b)

Question 37:
निम्नलिखित 3 (तीन) प्रश्नांशों के लिये निर्देश-
नीचे दी गई तालिका का ध्यानपूर्वक अध्ययन कीजिये तथा इस पर आधारित प्रश्नों के उत्तर दीजिये। तालिका विभिन्न प्रकार की कारों के उत्पादन (हज़ार में) को दर्शाती है।

Q. B प्रकार की कारों का वर्ष 2012, 2014 तथा 2015 में कुल उत्पादन, A प्रकार की कारों का 2013 तथा 2016 में कुल उत्पादन से लगभग कितना प्रतिशत अधिक है?
31.9%
33.2%
36.3%
34.4%
Correct Answer : 1
उत्तर: (a)

= 31.9%
Question 38:
आगे आने वाले 6 (छ:) प्रश्नांशों के लिये निर्देश :
निम्नलिखित चार परिच्छेदों को पढ़िये और प्रत्येक परिच्छेद के बाद आने वाले प्रश्नांशों के उत्तर दीजिये। इन प्रश्नांशों के लिये आपके उत्तर केवल संबंधित परिच्छेद पर आधारित होने चाहिये।
परिच्छेद-1
सूखा मूल रूप से बारिश की कमी से उत्पन्न संकट की स्थिति है। यह कमी अपर्याप्त बारिश होने या दो या दो से अधिक वर्षा की अवधि के बीच के समय के बढ़ने के कारण हो सकती है। सूखा तीन प्रकार का होता है। मौसम संबंधी सूखा एक ऐसी स्थिति है जब वास्तविक वर्षा एक बड़े क्षेत्र पर जलवायु की अपेक्षित वर्षा से काफी कम होती है। यहाँ बारिश असमय एवं अपर्याप्त होती है। इस तरह का सूखा मुख्य रूप से देश के शुष्क और अर्ध-शुष्क क्षेत्रों के बीच वेंद्रित होता है एवं वर्षा की उच्च विषमता के लिये जाना जाता है।
जल संबंधी सूखा जमीन के पानी के सूखने जैसे- नदी, नाले, झील, जलाशय और भू-जल स्तर में गिरावट से जुड़ा होता है। इस तरह का सूखा वनों की कटाई, खनन, सड़क निर्माण, अतिवृष्टि और अत्यधिक भू-जल की निकासी से बढ़ता है। ये सभी जल संबंधी अस्थिरता के कारक होते हैं जो सूखे की स्थिति को और बढ़ाते हैं। कृषि संबंधी सूखा या मृदा संबंधी सूखा तब होता है, जब मृदा अपनी नमी
संरक्षण की प्रभावी क्षमता खो देती है। यह फसल के स्वास्थ्य संबंधी विकास को रोकता है। इस तरह का सूखा तब भी हो सकता है, जब मौसम संबंधी सूखा नहीं होता है एवं यह विलोमत: भी सत्य है। इस तरह के सूखे की चरम स्थिति में पौधे जिन्दा नहीं रह पाते और ऐसी स्थिति को मरूस्थलीकरण कहा जाता है।
यद्यपि सूखे के ये तीनों रूप एक-दूसरे से स्वतंत्र होते हैं, लेकिन मौसम संबंधी सूखे की घटना जल संबंधी सूखे का मूल कारण होता है। लंबे समय तक मौसम संबंधी सूखे के फलस्वरूप जल संबंधी सूखा होता है, जो बाद में कृषि संबंधी सूखे का कारण बन सकता है। यह संक्रमण बहुत धीमी प्रक्रिया है।
Q. निम्नलिखित दो कथनों पर विचार कीजिये-
उपर्युक्त कथनों में से कौन-सा/से सही है/हैं?
केवल 1
केवल 2
1 और 2 दोनों
न तो 1 और न ही 2
Correct Answer : 1
उत्तर: (a)
व्याख्या: पहले अनुच्छेद के अंतिम वाक्य में यह स्पष्ट है कि शुष्क क्षेत्रों में वर्षा की विषमता उच्च होती है एवं पेड़ों की कटाई व अतिचारण जल संबंधी सूखे का एकमात्र कारण नहीं है, अपितु ये जल संबंधी अस्थिरता के कारण होता है। मौसम संबंधी सूखे की घटना जल संबंधी सूखे का मूल कारण होती है।
Question 39:
निम्नलिखित कथनों पर विचार कीजिये-
उपर्युक्त कथनों में से कौन-सा/से सही है/हैं?
केवल 1
केवल 2
1 और 2 दोनों
न तो 1 और न ही 2
Correct Answer : 1
उत्तर: (a)
व्याख्या: परिच्छेद के अंतिम भाग के अनुसार सूखा, जल संबंधी सूखे का मूल कारण होता है।
Question 40:
निम्नलिखित 3 (तीन) प्रश्नांशों के लिये निर्देश-
नीचे दी गई तालिका का ध्यानपूर्वक अध्ययन कीजिये तथा इस पर आधारित प्रश्नों के उत्तर दीजिये। तालिका विभिन्न प्रकार की कारों के उत्पादन (हज़ार में) को दर्शाती है।

Q. 2014 में A प्रकार तथा 2013 में C प्रकार की कारों का कुल उत्पादन तथा 2016 में B प्रकार तथा 2015 में E प्रकार की कारों का कुल उत्पादन का क्या अनुपात है?
12 : 13
11 : 12
10 : 11
12 : 11
Correct Answer : 1
उत्तर: (a)
व्याख्या: वर्ष 2014 में A प्रकार की कारों तथा 2013 में C प्रकार की कारों का कुल उत्पादन = (48 + 36) = 84 हज़ार
वर्ष 2016 में B प्रकार की कारों तथा वर्ष 2015 में E प्रकार की कारों का कुल उत्पादन = 56 + 35 = 91 हज़ार
अभीष्ट अनुपात = 84 : 91 = 12 : 13